Karla Martinez

Karla Martinez

 México @karlamartinez6 desde - visto
Preguntar

Preguntas

Pregunta en y en 2 temas más

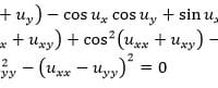
Determine cuáles de las siguientes ecuaciones representan ecuaciones diferenciales parciales

Calculo Determine cuáles de las siguientes ecuaciones representan ecuaciones diferenciales parciales, justifique
Pregunta en y en 2 temas más

Tipos de problemas que motivaron a definir y demostrar los conceptos de Cálculo diferencial e integral

Cálculo Tipos de problemas que motivaron a definir y demostrar los conceptos de Cálculo diferencial e integral hacía el análisis matemático
Pregunta en y en 2 temas más

Todo número α>0 tiene una raíz

Resolver: Demuestra que todo número α>0 tiene una raíz positiva
Pregunta en y en 2 temas más

¿Cómo describirías usando la noción de función vectorial?

Tenemos un reloj (de pulsera o de pared) con agujas. El conjunto de puntos determinado por la punta de una aguja da origen a una circunferencia (imaginaria). ¿Cómo la describirías usando la noción de función vectorial? ¿Cuál sería un parámetro...
Pregunta en y en 2 temas más

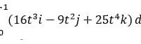
Evalué las siguientes integrales: (16t^3 i-9t^2 j+25t^4 k)

Funciones vectoriales: Integrales Evalué las siguientes integrales 1. 2.
Pregunta en y en 2 temas más

Resolver la integral para la longitud de arco.

Integrales Resolver la integral para la longitud de arco. A) b)
Pregunta en y en 2 temas más

Dada la función vectorial, determine

Límites, derivadas y continuidad Dada la función vectorial determine v(t)=r' (t)a(t)=v' (t)La rapidez |v(t)|La dirección T(t)=v(t)/|v(t)|El vector normal N(t)=(T' (t))/|(|T' (t)|)|
Pregunta en y en 2 temas más

Dadas las funciones vectoriales, determinar

Dadas las funciones vectoriales: i) r(t) = (sen t, cost, t), ii) r(t) = (t^3, t^2-2t, t+1), determinar: v(t) =a(t)=la rapidez |v(t)|la dirección T(t)=v(t) / |v(t)|El vector normal N(t)=T´(t) / ||T´(t)||
Pregunta en y en 2 temas más

Demuestre que f es continua sobre E si y solo si su gráfica es un compacto

Si f está definida sobre E, la gráfica de f es el conjunto de puntos (x, f(x)), para x en E. Suponga que E es compacto y demuestre que f es continua sobre E si y solo si su gráfica es un compacto.
Pregunta en y en 2 temas más

Demuestre que f(E) es denso en f(X). Si g(p)=f(p) para todo p en E

Sean f y g mapeos continuos de un espacio métrico X en un espacio métrico Y, y sea E un subconjunto denso de X. Demuestre que f(E) es denso en f(X). Si g(p)=f(p) para todo p en E, pruebe que g(p)=f(p) para todo p en X. (En otras palabras, un mapeo...