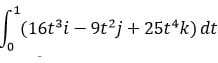
Evalué las siguientes integrales: (16t^3 i-9t^2 j+25t^4 k)
Funciones vectoriales: Integrales
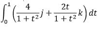
Evalué las siguientes integrales
1.

2.

1 respuesta
Respuesta de Lucas m
2