Preguntas esperando respuesta
Actividad pública reciente
Ha preguntado en el tema en
Ingeniería Informática
y en 4 temas más
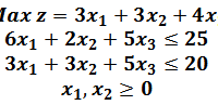
Investigación Operativa: A partir del siguiente modelo primal, los valores de y1, y2 son respectivamente:
A partir del siguiente modelo primal, los valores de y1, y2 son respectivamente: Seleccione una: a. 3.5, 0.5 b. 0,3, 3.5 c. 3.5, 0.3 d. 5.3, 0.3 e. 0.5, 3.5
Sin respuestas
Ha preguntado en el tema en
Software y aplicaciones
y en 4 temas más
A partir del siguiente modelo primal determine el modelo dual y el valor de w:
Sin respuestas
Ha preguntado en el tema en
Ingeniería Informática
y en 4 temas más
Investigacion Operativa: A partir del siguiente modelo primal realice el análisis de sensibilidad con el programa tora y determi

Sin respuestas
Ha preguntado en el tema en
Ingeniería Informática
y en 4 temas más
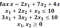
Investigación Operativa: A partir del siguiente modelo primal determine el modelo dual y el valor de w:
A partir del siguiente modelo primal determine el modelo dual y el valor de w: Seleccione una: a. 1. B. 0. C. -1. D. -2. E. 2.
Sin respuestas
Ha preguntado en el tema en
Ingeniería Industrial
y en 4 temas más
Investigación Operativa: A partir del siguiente modelo primal realice el análisis de sensibilidad con el programa tora y determi
A partir del siguiente modelo primal realice el análisis de sensibilidad con el programa tora y determine el valor de los costos reducidos: Seleccione una: a. 5, 15. B. 15, 5. C. 2, 1. D. 1, 2. E. 1, 15.
Sin respuestas
Ha preguntado en el tema en
Matemáticas
y en 2 temas más
Matemática financiera: Francisco invierte $ 7.000 al final de cada año ...
Francisco invierte $ 7.000 al final de cada año durante 15 años. La tasa de interés que Francisco consigue es del 8% anual. El valor final de la inversión de Francisco en esta anualidad ordinaria es: Seleccione una: a. $ 105,000.00. B. $ 109,640.80....
Ha valorado "Excelente" la respuesta
Matemática financiera:Una entidad financiera concede un préstamo de 6000 ...
Ha valorado "Excelente" la respuesta
Matemática financiera:Con el fin de tener dinero para la educación...
Ha preguntado en el tema en
Matemáticas
y en 2 temas más
Matemática financiera:Si una pequeña empresa invierte sus ganancias...
Si una pequeña empresa invierte sus ganancias anuales de US $ 150.000 en un fondo de acciones que gana un 18% por año, el importe del fondo después de diez años será más cercano en: Seleccione una: a. $ 479.000. B. $ 785.000. C. $ 2.153.000. D. $...
Ha preguntado en el tema en
Matemáticas
y en 2 temas más
Matemática financiera:Usted puede hacer los pagos por la compra de un ...
Usted puede hacer los pagos por la compra de un automóvil de $ 145 al mes durante tres años. La tasa de interés es del 5,9 por ciento anual, capitalizable mensualmente. ¿Cuánto puede usted permitirse el lujo de pedir prestado para comprar un auto?...
Ha preguntado en el tema en
Matemáticas
y en 2 temas más
Matemática financiera:Usted solicitará un préstamo de $1000 al Banco ...
Usted solicitará un préstamo de $1000 al Banco Continental a una TET de 10%. El préstamo será cancelado mediante 4 pagos trimestrales iguales vencidos. ¿Cuál es el importe del principal que es pagado en el período 2? Seleccione una: a. $ 262.48. B. $...
Sin respuestas
Ha empezado a seguir a
Ha valorado "Excelente" la respuesta
Sobre matemática financiera: Calcule el valor de F en el siguiente diagrama de flujo de caja. Asuma i = 12 %.
Ha valorado "Excelente" la respuesta