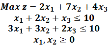
Software y aplicacionesIngeniería InformáticaMatemáticasProfesoresIngeniería Industrial juan perez rojas el 17 mar. 16 A partir del siguiente modelo primal determine el modelo dual y el valor de w: Seleccione una:a. 24.16.b. 23.33.c. 13.81.d. 12.27.e. 33.15. Seguir Siguiendo Dejar de seguir