Investigacion Operativa: A partir del siguiente modelo primal realice el análisis de sensibilidad con el programa tora y determi
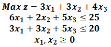
A partir del siguiente modelo primal realice el análisis de sensibilidad con el programa tora y determine el valor de los precios duales:

Seleccione una:
a. 2, 1.
b. 0, 0.
c. 1, 0
d. 1, 2.
e. 0, 1.