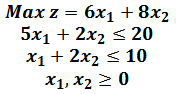
Investigación Operativa: A partir del siguiente modelo primal, los valores de y1, y2 son respectivamente:
A partir del siguiente modelo primal, los valores de y1, y2 son respectivamente:

Seleccione una:
a. 3.5, 0.5
b. 0,3, 3.5
c. 3.5, 0.3
d. 5.3, 0.3
e. 0.5, 3.5