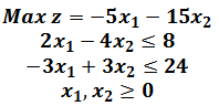
Investigación Operativa: A partir del siguiente modelo primal realice el análisis de sensibilidad con el programa tora y determi
A partir del siguiente modelo primal realice el análisis de sensibilidad con el programa tora y determine el valor de los costos reducidos:

Seleccione una:
a. 5, 15.
b. 15, 5.
c. 2, 1.
d. 1, 2.
e. 1, 15.