José Alirio Saldarriaga Noreña

José Alirio Saldarriaga Noreña

 Colombia @josealiriosaldarriaganorena desde - visto
Preguntar

Preguntas

Pregunta en

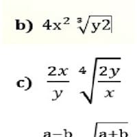
Transformar radicales enteros, en radicales de coeficiente 1

Buenas noches, como hago para resolver estos ejercicios en radicales de coeficiente 1
Pregunta en

Cómo factorizar los siguientes ejercicios

Me pueden colaborar con estos 2 ejercicios u^8-14u^4+25 x^2+4xy+4y^2-x-2y-6
Pregunta en y en 1 temas más

Resolver ejercicio planteado como suma o diferencia de cubos

Tengo este ejercicio y necesito saber si se puede factorizar de alguna manera. A^8+b^8
Pregunta en

Como introducir el criterio entre en excel

Como utilizo el criterio "entre" 2 valores numéricos, Ej. (Cantidad de pedidos que su ESTADO sea Entregado y que sus unidades despachadas supere los 500 pedidos y que el NETO este entre 5000000 y 7000000) con la función bdcontara.
Pregunta en

Obtener la suma global de ventas en un formulario o consulta

En un formulario tengo un campo que se llama total servicios el cual me suma otros campos numéricos dentro del mismo formulario. La pregunta es ¿Cómo hago para sacar un total de ventas de todos los registros? ¿Qué debo hacer?
Pregunta en

Crear una lista en excel para seleccionar varias opciones

Lo que pasa es que tengo unos campos en una base de datos, en los cuales debo seleccionar varias opciones deacuerdo a una serie de preguntas. ¿Cómo puedo solucionar este problema? Ej: ¿Cuáles derechos considera que se le respetan? A la vida x A la...
Sin respuestas
Pregunta en

Herramientas para cruzar y consolidar bases de datos

Que herramientas o fórmulas de excel puedo utilizar para cruzar, comparar y consolidar bases de datos, con mucha información.
Pregunta en y en 2 temas más

Cómo puedo descargar Driver Audio Ms-7142

Necesito instalar el sonido para una board ms-7142, de donde puedo descargar el driver.
Pregunta en

Utilizar función Si y Buscarv anidadas

Tengo una hoja de clientes, otra con proveedores, y otra donde me piden con funciones anidadas teniendo en cuenta el documento de identificación del proveedor, la siguiente información El Bono es del 10% del valor del artículo, si el proveedor es de...
Pregunta en y en 1 temas más

Proteger archivos en una usb

Como hago para proteger mis carpetas de una usb, sin que nadie pueda copiarlas a otra unidad.