José Alirio Saldarriaga Noreña

José Alirio Saldarriaga Noreña

 Colombia @josealiriosaldarriaganorena desde - visto
Preguntar

Preguntas

Pregunta en

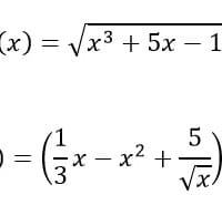
Resolver con regla de la cadena

Necesito resolver estos 2 ejercicios usando regla de la cadena:
Sin respuestas
Pregunta en

Cómo hallar límite por factorización

Necesito hallar este límite con factorización.
Pregunta en

Hallar los límites utilizando tablas de valores

Necesito resolver estos 2 ejercicios con tablas de valores. Agradezco la colaboración prestada.
Pregunta en

Cómo puedo resolver el siguiente ejercicio?

Si una empresa utiliza 20 unidades de capital para producir 9 unidades de un producto con un costo total medio de $67 y la renta del capital es igual a $200 por unidad, ¿Cuántas unidades de trabajo está utilizando si los salarios son iguales a...
Sin respuestas
Pregunta en y en 1 temas más

Cómo identificar si es un problema de microeconomía o macroeconomía

Necesito saber si respondí correctamente estos problemas: El banco de la república decide aumentar las tasas de interés. MacroLos cambios en el precio internacional del petróleo encarecen la producción de bienes manufacturados. MacroAumenta la...
Pregunta en

Cómo filtrar totales de subtotales

Tengo una base de datos donde apliqué la herramienta subtotales, necesito filtrar por ej. Todos los totales de subtotales que sean mayores o menores a un valor. Que fórmula o herramienta aplico para hacer esto Anexo imagen adjunta.
Pregunta en

Cómo Cruzar bases de datos

Que herramientas o funciones puedo utilizar para hacer cruces de bases de datos en excel. Si se puede con algún ejemplo sería mucho mejor.
Pregunta en

Macro para sumar y ordenar los totales

Necesito crear una macro o fórmula donde sume datos numéricos para cierta cantidad de registros y esta me devuelva el orden de mayor a menor. Ej. 3 participantes en un concurso, a cada uno se le da una valoración por ítem, estos deben ser sumados y...
Pregunta en

Cómo mostrar registros únicos en excel

Tengo una base de datos con registros repetidos, cómo hago para que muestre un solo registro sin que muestre el mismo varias veces en cada línea.
Pregunta en

Cómo elaborar un producto o bien - proceso

Necesito un ejemplo de cómo se elabora un producto, donde se involucren temas: como oferta, demanda, problemas económicos, fuerzas productivas y factores de producción. Relacionar paso a paso en un mapa conceptual o cuadro sinóptico. Cómo me pueden...
Sin respuestas