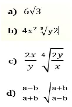
Transformar radicales enteros, en radicales de coeficiente 1

Buenas noches, como hago para resolver estos ejercicios en radicales de coeficiente 1
1 Respuesta
Respuesta de Lucas m
1