Jaime Hortua

Jaime Hortua

 Colombia @jaimehortua desde - visto
Preguntar

Preguntas

Pregunta en y en 1 temas más

Calcular la derivada implícita de la Siguiente función.

Agradezco de su colaboración con la solución del siguiente ejercicio ...
Pregunta en y en 1 temas más

Problemas aplicación de las derivadas

Agraderezco de su colaboración con la solución de los 2 ejercicios de derivadas : 1 Punto Una partícula se mueve en línea recta describiendo un recorrido dado por: s(t)=5t+2t^2, donde s está dado en m y t en segundos. Encuentre la velocidad para los...
Pregunta en y en 1 temas más

Calcular la Primera Derivada de las Siguientes Funciones

Agradezco de su colaboración con la solución de los dos siguientes ejercicios . Gracias .
Sin respuestas
Pregunta en y en 2 temas más

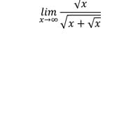
Agradezco de su colaboración con el siguiente Límite indeterminado al infinito :

Es un ejercicio de limites indeterminado al infinito con exponente fraccionario
Pregunta en y en 2 temas más

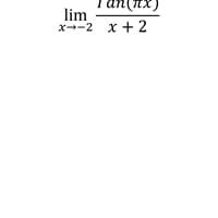
Límite indeterminado trigonométrico, (no usar método del L’Hospital).

Agradezco de su colaboración con la solución del siguiente ejercicio .
Pregunta en y en 3 temas más

Es un ejercicio de Límite indeterminado por racionalización

Agradezco de su colbaoracion con la solución del siguiente ejercicio:
Pregunta en y en 2 temas más

En un proceso de automatización industrial es necesario determinar si la señal del voltaje de alimentación de una planta es cont

Es un ejercicios relacioando con limites y continuidad . Agradezco de su colaboración
Sin respuestas
Pregunta en y en 2 temas más

Calcular los valores de a y b para que la función f(x) sea continua

Amablemente solicito de su colaboración con la solución de este ejercicio:
Pregunta en y en 2 temas más

Graficar función a trozos encontrando el punto de (a) que hace que la función sea continua.(Geogebra). Demostrar matemáticament

Es un ejercicio para solucionar y graficar en geogebra . Agradezco de su colaboración en detalle de la solución para realizar la validación con lo que tengo solucionado . Gracias
Pregunta en y en 1 temas más

Un cultivo de bacterias crece siguiendo la ley

Es un problema de Limites y continuidad . Agradezco de su colaboración con la solución detallada .
Sin respuestas