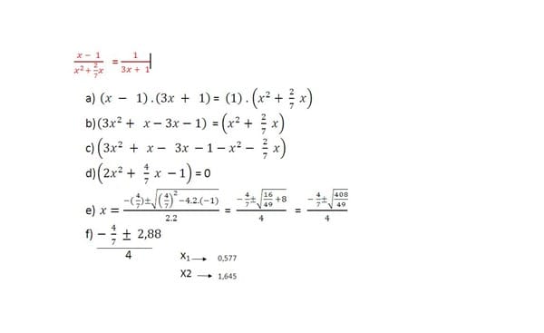
Necesito me ayuden con la corrección de ecuación cuadrática fraccionaria.
Amigos del foro pueden corregir este ejercicio ya que los resultados no son iguales a los del apunte.
En el apunte x1 = 1,48 y x2 = -0,34
Envío imagen del mismo.
Gracias .

1 Respuesta
Respuesta de Mario Rodríguez
1
