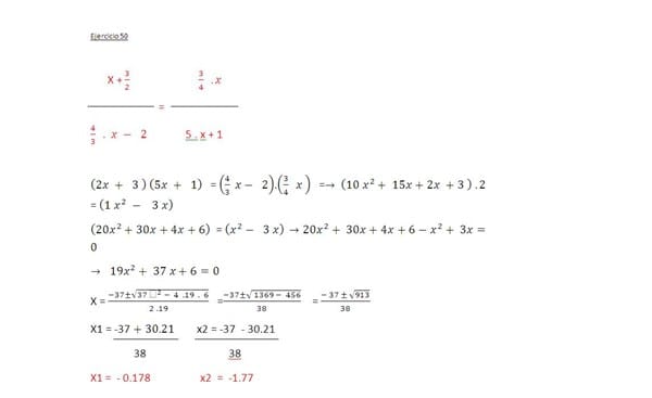
Dónde esta el error en esta ecuación,que no coinciden los resultados.
He realizado el siguiente ejercicio de una ecuación fraccionaria y el resuldo me da distinto al del apunte.
x1 = - 0,16 y x2 = -2,34
Envío la imagen del mismo con el método que yo he empleado para resolverla.
Gracias.

2 Respuestas
Respuesta
1
Respuesta de Valero Angel Serrano Mercadal
1

