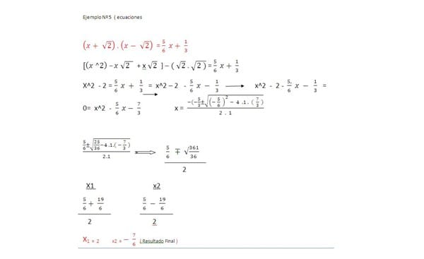
Me dicen si este ejercicio de ecuaciones fraccionarias esta bien resuelto.
Amigos del foro envío ejercicio de ecuación fraccionaria, para que me digan si esta bien realizado y si es correcto el método que utilice y el resultado.
Acompaño imagen del mismo y espero respuesta.

1 respuesta
Respuesta de Valero Angel Serrano Mercadal
2
