Actividad pública reciente
Ha valorado "Excelente" la respuesta
Economista, conocido como el padre de la teoría negra, ¿Quien es?
Hace poco leí un artículo sobre el, es Thomas Robert Malthus si no me equivoco, hablaba mucho del crecimiento poblacional y la falta de recursos.
Ha valorado "Excelente" la respuesta
¿Cómo se resuelve la siguiente integral?
Ha valorado "Excelente" la respuesta
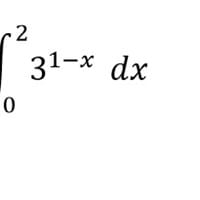
¿Cómo queda resuelta la siguiente integral?
Ha valorado "Excelente" la respuesta
¿Cuál es la derivada de la función f(x)= -1/38x^3+9.6x^2-25?
· 1) La derivada es: 2) Los valores criticos de la función son los que anulan la derivada primera. Para ellos tomaremos mejor la segunda expresión y los valores críticos son los que anulan a alguno de los factores. Para anular al factor x debe ser...
Ha valorado "Excelente" la respuesta
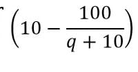
¿Cuál es la derivada de D(q)=-20q.In(q/500)?
· Tendrás que usar la derivada de una constante por una función, la derivada del producto de dos funciones y la regla de la cadena. Esos son todos los pasos, naturalmente tu puedes simplificarlos todos lo que quieras siempre que te veas capacitado y...
Ha valorado "Excelente" la respuesta
¿Cuál es la derivada de Q(p)=500e^-0.05p?
· Solo tienes que usar la regla de la cadena aplicada a la función e^x Te habrán enseñado que · Y eso es todo.

