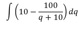
¿Cómo se resuelve la siguiente integral?
La integral es la siguiente:

- Determine la función de costo total, suponiendo que la constante de integración es de 500
- De acuerdo a la función anterior, indique el costo de fabricar 100 unidades.
Como nos dan la derivada del costo, para calcularlo haremos la integral
2 respuestas
Respuesta
1
Respuesta de Valero Angel Serrano Mercadal
1

Pusiste 100q cuando era 10q - Valero Angel Serrano Mercadal
sí gracias, me di cuenta con tu respuesta, pero como ya nos valoró a ambos, entiendo que Harael se dio cuenta del error - Anónimo