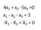
Ejercicio por el método de gauss

Resolver por el metodo de Gauss                                                                                                                                                                                                                                                                                                                                                                                                                                                                                                                                                                                                                                                                                                                                                                                                                                                                                                                                                                                                                                                                                                                                                                                                                                                                                                                                                                                                                                                                                                                                                                                                                                                                                                                                                                                                                                                                                                                                  

2 respuestas

Respuesta
4

Revisa el siguiente vídeo para aprender a resolver por el método de Gauss

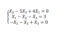
Solamente acomoda tu matriz las x1 como x, las x2 como y, las x3 como z

Solución de un sistema de 3x3 método de Gauss | Ejemplo 1 - YouTube

Acá tienes el sistema acomodado:

Respuesta
1

Complementando la sugerencia de Dante, te doy la matriz triangular superior ampliada ( Gauss) para obtener las raices del sistema:

24................- 3/2.................-45/2 .......0

0 ..................3/2 .................-9/2 .........-3

0 ...................0..................... 9/2 .........9/2

De aqui te estaria resultando : x= 6 ......................y= -3/2 ................z= 9/2

Añade tu respuesta

Haz clic para o

Más respuestas relacionadas