Como seria el procedimiento del siguiente problema

Me pueden ayudad a resolver el siguiente problema

1 respuesta

Respuesta
2

Veamos que pasa si empezamos a operar...

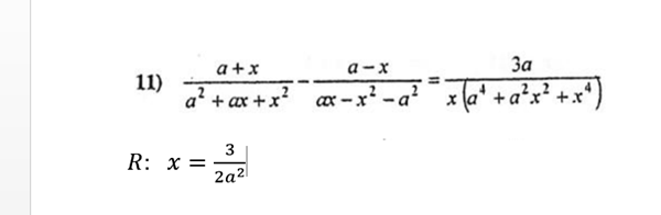
$$\begin{align}&\frac{a+x}{a^2+ax+x^2}-\frac{a-x}{ax-x^2-a^2}=\frac{3a}{x(a^4+a^2x^2+x^4)}\\&\text{Solo por comodidad, voy a cambiar el signo de la segunda fracción y a cambiar los signos en el denominador}\\&\frac{a+x}{a^2+ax+x^2}+\frac{a-x}{-ax+x^2+a^2}=\frac{3a}{x(a^4+a^2x^2+x^4)}\\&\frac{(a+x)(x^2-ax+a^2)+(a-x)(a^2+ax+x^2)}{(a^2+ax+x^2)(x^2-ax+a^2)}=\frac{3a}{x(a^4+a^2x^2+x^4)}\\&\frac{ax^2-a^2x+a^3+x^3-ax^2+xa^2+a^3+a^2x+ax^2-xa^2-ax^2-x^3}{(a^2+ax+x^2)(x^2-ax+a^2)}=\frac{3a}{x(a^4+a^2x^2+x^4)}\\&\frac{2a^3}{(a^2+ax+x^2)(x^2-ax+a^2)}=\frac{3a}{x(a^4+a^2x^2+x^4)}\\&\frac{2a^2}{(a^2+ax+x^2)(x^2-ax+a^2)}=\frac{3}{x(a^4+a^2x^2+x^4)}\end{align}$$

Intenta seguir de allí (creo que lo más sencillo es hacer la distributiva en el denominador del lado izquierdo buscando que se simplifique con el denominador del lado derecho) 

Añade tu respuesta

Haz clic para o

Más respuestas relacionadas