Calculo diferencial: Demostrar que la siguiente derivada da como resultado 1
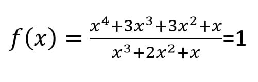
Demostrar que la siguiente derivada da como resultado 1,
Por favor explicar bien los pasos sobre todo en la factorización y simplificación final:

1 respuesta
Respuesta de albert buscapolos Ing°
3