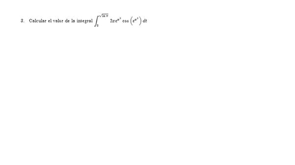
Saben como se haría esta integral
me podrían decir como hacer esta integral no he podido desarrollarla
2 respuestas
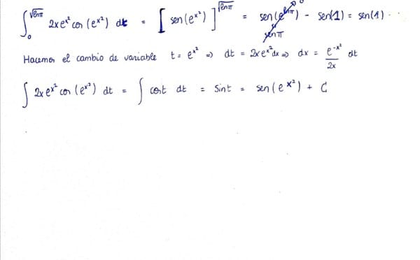
Respuesta de Alejandro Salazar
1
Respuesta de Pablo Medina Ramos
1



