Ejercicio Máximos y mínimos con Lagrange (No necesito el desarrollo)
Solo necesito que me pongan la respuesta, quiero comprobar si la que tengo yo está bien, ahora si se molestan en poner el desarrollo no me enojo xD
Si tengo:

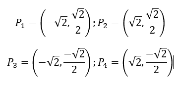
Mis puntos críticos fueron:

1 Respuesta
Respuesta de Alejandro Salazar
2
