Como resolver este limite al infinito
Necesito encontrar el limite de esta función

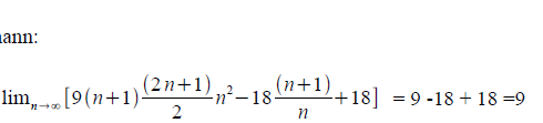
E tratado de resolverlo y el resultado me da infinito, según en un libro dice que el resultado es 9
2 respuestas
Respuesta
1
Respuesta de willy gg
1




Es probable que el n^2 de tu ejercicio original deba ir en el denominador en vez de el numerador, así te da el resultado que buscas, salu2 - willy gg