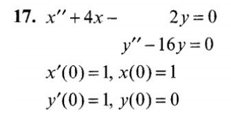
¿Como solucionar este ejercicio de sistema de ecuaciones diferenciales? Paso a paso
Con la transformada de Laplace, explicado por favor.

1 Respuesta
Respuesta de Alejandro Salazar
1
