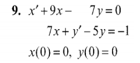
¿Como resolver este ejercicio de sistema de ecuaciones diferenciales con la transformada de Laplace?

1 respuesta

Respuesta
1

Revisa el ejercicio que te resolví anteriormente, el procedimiento es el mismo. Si es que no tienes una tabla o no conoces las transformadas busca en internet; o pídeme y yo busco, voy a resolver las que tienen segundas derivadas, pero a juan le ayudé con una y también hice la tuya. Con eso es suficiente para resolver los ejercicios con una sola derivada. Si no entiendes lo de las fracciones parciales https://es.wikipedia.org/wiki/Descomposici%C3%B3n_en_fracciones_simples, aparece bien explicado y quizas buscar unos videos

Añade tu respuesta

Haz clic para o

Más respuestas relacionadas