1. Determine el rango y el dominio de las siguientes funciones

Cordial saludo amigos de todo expertos espero me ayuden con este ejercicio de calculo

2 respuestas

Respuesta
1

¿Te han ensenado derivadas? Es que hallar el rango de esa función sea fácil de calcular sin derivadas al menos que uses una graficadora

Por un ejercicio que pediste arriba veo que si lo hicieron, te ayudo en un ratito

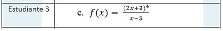
Se me había olvidado pero bueno. Primero, hay asíntota horizontal en x=5. Veamos si hay asintotas verticales

$$\begin{align}&\lim_{x \to \infty} \frac{(2x+3)^4}{x-5}= \infty\end{align}$$

No hay asintotas verticales, oblicuas tampoco porque aunque se divida entre x para hallar la pendiente el numerador sigue siendo muy grande.

Ahora hallar primera y segunda derivada y sus ceros. Voy a poner el resultado directamente

$$\begin{align}&f'(x)=\frac{(2x+3)^3(6x-43)}{(x-5)^2}\\&f''(x)=\frac{2(2x+3)^2(12x^2-172x+729)}{(x-5)^3}\end{align}$$

la primera derivada se hace cero cuando x=-3/2 y x=43/6

la segunda derivada cuando x=-3/2

Pasa algo raro y es que el punto -3/2 tiene primera y segunda derivada cero. Pero si te fijas y pones valores cercanos a ese punto en la primera y segunda derivada vemos que en la segunda no cambia de signo.

Tenemos entonces en el intervalo (-infinito,-3/2) primera derivada positiva y segunda derivada negativa, luego en el intervalo (-3/2,5) segunda derivada negativa y primera derivada positiva. Por lo que es una especie de "parábola" que va hacia abajo hasta menos infinito y tiene de máximo -3/2

Luego en el intervalo (5,43/6) primera derivada negativa y segunda derivada positiva, y en el intervalo (43/6,infinito) tiene primera derivada positiva y segunda derivada positiva, haría una especie de "parábola" hacia arriba hasta el infinito y con mínimo 43/6. 

Ahora en x=-3/2 la función vale cero, y en 43/6 la función vale 41661 tenemos de rango entonces (-infinito, 0) unido con (41661, infinito)

Como gráfico en geogebra el rango

Creo que no se puede pero no estoy del todo seguro

Respuesta
1

La función dada tiene un punto singular para x= + 5... donde no esta definida.

Entre - infinito y x<5 es negativa............Entre x>5 y + infinito es positiva. Seria el dominio.

Dominio serian todos los reales que cumplen la condición citada... Todos salvo x=5.

Rango serian todo los reales - infinito a + infinito.

Añade tu respuesta

Haz clic para o

Más respuestas relacionadas