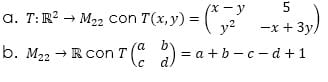
Demuestra que la transformación dada no es lineal
Álgebra lineal
Demuestra que la transformación dada no es lineal

1 respuesta
Respuesta de Karl Mat
1