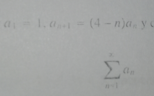
MatemáticasCálculo Anónimo el 4 sep. 18 Como se si una serie es convergente? Cómo hago para saber si esta serie es convergente. Seguir Siguiendo Dejar de seguir 1 respuesta Respuesta de Karl Mat 0 0 Karl Mat Esto se puede hacer por simple inspección ya que el factor (4 - n) para n = 4 se anula, veamos$$\begin{align}&a_1=1\\&a_2=3\times 1=3\\&a_3=2\times 3=6\\&a_4=1\times 6 = 6\\&a_5=0\times 6 =0\\&a_6=-1\times 0 =0\\&\vdots\\&a_j=0 ~,~\forall j\geq 5\\&\\&\sum\limits_{n=1}^{\infty}a_n=1+3+6+6+0+\cdots +0 +\cdots = 16\end{align}$$por ende la serie converge el 5 sep. 18 - Anónimo ahora mismo Añadir comentario Usa los comentarios si quieres aportar algo a esta respuesta. No los utilices para preguntar algo nuevo. Cancelar Enviar