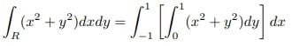
Determine el volumen de la f(x, y) = z = x^2 + y^2, es decir;

Análisis de la integral doble

Se propone realizar la integral, iniciando para la variable y y haciendo x constante, es decir;

Determine el volumen de la f(x, y) = z = x^2 + y^2, es decir;

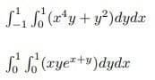
Evaluar la siguientes integrales iteradas y presentar su gráfica:

1 respuesta

Respuesta
1

Primero integramos la interna:

∫ (de 0 a 1) (x^2+y^2)dy;

Indefinida:  x^2y + (1/3)y^3;

Para y=1:  x^2+ (1/3);

Para x=0:  0;  Resto:  x^2 + (1/3);  Integro este resultado pero ahora dx:

∫ (de (-1 a 1) [x^2 + (1/3)]*dx;

Indefinida:  (1/3)x^3 + (1/3)x;  

Para x=1:  (1/3) + (1/3) = (2/3);

Para x=(-1):  (-1/3) - (1/3) = (-2/3);  resto:

4/3 u^3; Tener en cuenta que con la primera integración obtenemos una superficie (y por eso el resultado es en unidades cuadradas), y al volver a integrarla en forma ortogonal, obtenemos un volumen, con un resultado en unidades cúbicas.

∫ (de -1 a 1) ∫ (de 0 a 1) (x^4y + y^2) dydx;

Indefinida de la interna:  (1/2)x^4y^2 + (1/3)y^3+C;

Para y=1:  (1/2)x^4 + (1/3);

Para y=0:  0;  Resto:  (1/2)x^4 + (1/3);

Integro dx:  (1/10)x^5 + (1/3)x;

Para x=1:  (1/10) + (1/3) = 13/30;

Para x= (-1):  (-1/10) + (-1/3) = (-13/30);  Resto:

13/15 u^3

∫ (de 0 a 1) ∫ (de 0 a 1):  ([xye^(x+y)]dydx;

Para la indefinida de la interna, por partes:

x ∫ ye^(x+y)dy;  u=y;  du=dy;  v=e^(x+y);  dv=e^(x+y)*dy;

x [ye^(x+y) - ∫ e^(x+y)dy];

x  [e^(x+y) (y-1)];

Para y=1:  x;

Para y=0:  -x e^x;  resto:

x(1+e^x);  o:  x + xe^x;  integro dx:  p=x;  dp=dx;  q=e^x;  dq=e^x*dx;

∫ x*dx + xe^x - ∫ e^x*dx;  

(1/2)x^2 + xe^x - e^x + C;

Para x=1:  (1/2) + e-e;  (1/2);

Para x=0:  -1;  resto:  

3/2 u^3

Añade tu respuesta

Haz clic para o

Más respuestas relacionadas