¿Dudas con este ejercicio de racionalización de matemáticas

No comprendo por qué el exponente pasa de 3 a 4... ¿me podrían

1 respuesta

Respuesta
1

Saludos Gravitate Carentibus

Porque es una multiplicación de potencias de igual base

Observa el siguiente ejemplo:

$$\begin{align}&2^3 * 2^3 * 2^3 * 2^3 = 8*8*8*8=4096 \\&\\&\\&2^3 * 2^3 * 2^3 * 2^3 = 2^{3+3+3+3}  = 2^{12} = 4096\\&\\&\\&\\&\end{align}$$

Puedes notar que el resultado de multiplicar dos o más potencias de igual base es otra potencia con la misma base, y en la cual el exponente es la suma de los exponentes iniciales.

Así que la formula general es:

$$\begin{align}&a^n*a^m=a^{n+m}\end{align}$$

Éxitos y recuerda valorar, así agradecemos a los que se toman el tiempo de ayudar.

Específicamente en tu ejemplo

$$\begin{align}&3*3^3=3^1*3^3=3^{1+3}=3^4\end{align}$$

¡Gracias! Me has ayudado un montón, de verdad muchas gracias, ha sido una explicación muy clara :)

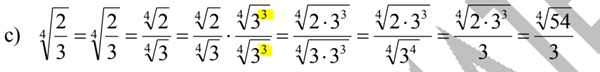
Oh, cierto, se me olvidaba otra duda más, siento volver a molestarte... pero en el mismo ejercicio no comprendo por qué aparecen estos 3

Saludos Gravitate Carentibus

Las normas del foro indican que no deben realizarse otras preguntas en los comentarios, por esta vez te respondo...

Es un ejercicio de racionalización de radicales, cuyo objetivo es eliminar la raíz del denominador. Para ello haces uso de dos herramientas:

1. Completar la raíz.

Se realiza multiplicando por otra raíz del mismo índice y base, pero con una potencia tal que sumada a la potencia que tengo llegue del valor del índice de la raíz.

Ejemplo:

$$\begin{align}&\sqrt[8]{3^2}* \color {blue} {\sqrt[8]{3^6}} =\sqrt[8]{3^2*3^6}=\sqrt[8]{3^{2+6}}=\sqrt[8]{3^{8}}=3\end{align}$$

Observa que se multiplica por otra raíz del mismo índice (8) y base(3), pero con una potencia (6) tal que sumada a la potencia que tengo (2) llegue del valor del índice de la raíz (ya que 6+2=8)

2. Si a un factor lo multiplico y lo divido por una misma expresión determinada, el factor inicial permanece inalterable.

$$\begin{align}&2=2* \color{blue} {\frac{3}{3}}=\frac{2*3}{3}=\frac{6}{3}=2\end{align}$$

Al factor (2) lo multiplique y dividí por un mismo valor(3) y permaneció inalterable.

Así que multiplicas y divides por la fracción con el radical que completa a tu denominador y te permite "extraerlo" de la raíz.

Hiciste otra pregunta de este tipo de ejercicios y se respondió con detalles

Éxitos

Añade tu respuesta

Haz clic para o

Más respuestas relacionadas