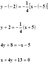
Cual es la forma general de la ecuación de una recta que pasa por los puntos (-5,-2) y (-1,-3)
No le entiendo muy bien por favor... Cual es la forma general de la ecuación de una recta que pasa por los puntos (-5,-2) y (-1,-3)¿? ¿?
2 respuestas
Respuesta de Luis Alberto Candio Salcedo
3
Respuesta de Mario Rodríguez


