Si es posible, resuelva el siguiente sistema de ecuaciones lineales, de 3 incógnitas por 3 ecuaciones, por eliminación gaussi
Me pueden explicar este ejercicio
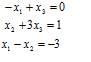
- Si es posible, resuelva el siguiente sistema de ecuaciones lineales, de 3 incógnitas por 3 ecuaciones, por eliminación gaussiana y diga los valores que toma cada variable. Compruebe sus resultados reemplazando dichos valores en las ecuaciones iniciales y por medio del software Geogebra*.

1 respuesta
Respuesta de Lucas m
1