Determina h y k de modo que la ecuación diferencial antes escrita, se pueda escribir en la forma: dY/dX=(X+Y)/(X-Y)
Ecuaciones diferenciales
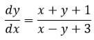
Considera la ecuación diferencial:

Esta ecuación podría resolverse si no estuvieran presentes las constantes 1 y 3. Para eliminar estas constantes, realiza la sustitución x=X+h, y=Y+k.
1. Determina h y k de modo que la ecuación diferencial antes escrita, se pueda escribir en la forma:
dY/dX=(X+Y)/(X-Y).
2. Encuentra la solución general de la ecuación diferencial original
2 respuestas
Respuesta de Norberto Pesce
3
Respuesta de Lucas m
1

Admiro esa paciencia!. - Boris Berkov
Ja!Ja!; Gracias por tu comentario. - Norberto Pesce