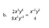
Determina si las siguientes igualdades son ciertas o falsas


Argumenta tus respuestas con base en los axiomas de los números
1 respuesta
Respuesta de Lucas m
1

