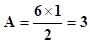
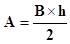
Un triangulo tiene sus vertices en los puntos A(-2,6) B(4,6) y C(0,5) ¿Cuál seria su área?
Esa es la pregunta, espero que la respondan por favor, no se porque no la entiendo XD
1 respuesta
Respuesta de Luis Alberto Candio Salcedo
1

