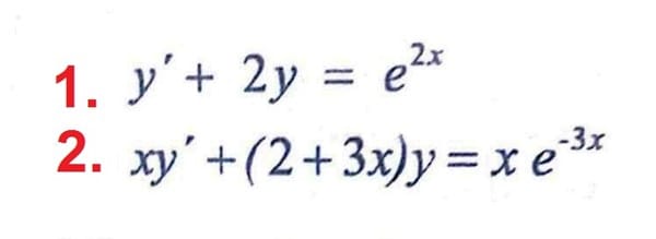
Una ayudita con estas ecuaciones diferenciales de primer orden

Son Ecuaciones Diferenciales de 1er. Orden. Daré un buen puntaje...!
1 respuesta
Respuesta de Lucas m

Son Ecuaciones Diferenciales de 1er. Orden. Daré un buen puntaje...!