Miriam Plus

Miriam Plus

 Perú @miriamsp01 desde - visto
Preguntar

Actividad pública reciente

Ha preguntado en el tema en

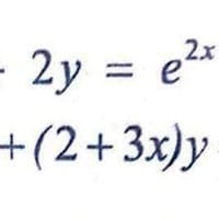
Una ayudita con estas ecuaciones diferenciales de primer orden

Son Ecuaciones Diferenciales de 1er. Orden. Daré un buen puntaje...!
Ha preguntado en el tema en

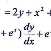
Ecuaciones Diferenciales de 1er. Orden

Por favor una ayuda con estos 2 ejercicios de Ecuaciones Diferenciales de 1er. Orden. Daré un buen puntaje.
Ha preguntado en el tema en

Tengo hace dos días un dolor en el bajo vientre izquierdo,

Tengo hace dos días un dolor en el bajo vientre izquierdo, tengo 50 años y no soy estreñida ni tampoco estoy con el estomago flojo, el gastro me dijo que podía ser un problema de colon irritado y me indico tomar Muvetts y Corrilax, dos veces al día....
Sin respuestas