Calcular la siguiente derivada, aplicando las reglas de derivación
Calculo Diferencial
Calcular la siguiente derivada, aplicando las reglas de derivación
Por Favor Resolver! Gracias, Es Urgente!
Ejercicio:
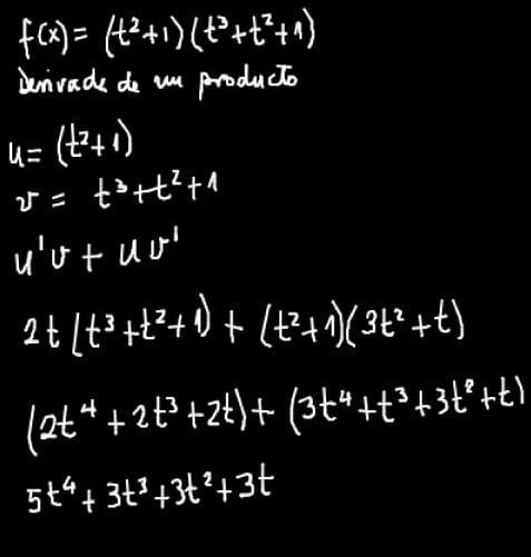
?(?)=(?^2+1)∗(?^3+?^2+1)
1 respuesta
Respuesta de Llaq Kmg
