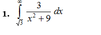
Evaluar las siguientes integrales impropias si convergen o divergen:
Primera parte

Argumente cada paso o propiedad a utilizar
1 Respuesta
Respuesta de Lucas m
1




