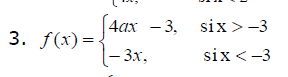
Ejercicio encontrar los valores de (a) que hace que la función atrozos sea continua...

Ejercicio encontrar los valores de (a) que hace que la función a
trozos sea continua, me podrian colaborar
1 respuesta
Respuesta de Lucas m
1