Problema 2. Plantee el término general de una progresión geométrica cuyo
Ayudenme con este problema, se los agradezco. :D
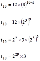
Problema 2. Plantee el término general de una progresión geométrica cuyo
primer término es 12 y la razón común es 8 Adicionalmente encuentre la suma
de los primeros 5 términos y el valor del décimo término.
1 Respuesta
Respuesta de Luis Alberto Candio Salcedo
1


