Reglas de transformación lineal, determine si la transformación dada de V en W
¿Es lineal y porque?
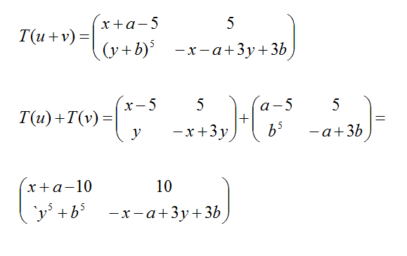
T:R2 ->M22 con T(x,y) =
$$\begin{align}&x-5&5\\&y^5&-x+3y\end{align}$$
1 Respuesta
Respuesta de Lucas m
1
