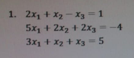
Resuelva los siguientes sistemas de ecuaciones utilizando el método de eliminación de Gauss – Jordan.
Ejercicios sistemas de ecuaciones método de eliminación de Gauss – Jordan.

1 respuesta
Respuesta de Lucas m
1

