Cómo resolver el siguiente ejercicios de geometría
Cual es la ecuación
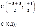
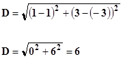
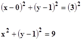
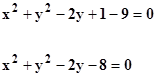
Los extremos de un diametro de una circunferencia son los puntos (-3;1) y (3;1)
1 Respuesta
Respuesta de Luis Alberto Candio Salcedo
1




