Ejercicios correspondientes a la Unidad 2: Límites y continuidad.
I.- Encuentra el límite de la siguiente función:
lim d(x)=lim(3x²+4x+5)=
x→3 x→3
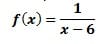
II.- Traza la gráfica de la siguiente función, encuentra el punto de discontinuidad, y anota el dominio de la misma considerando dicho punto.
![]()
1 respuesta
Respuesta de albert buscapolos Ing°
1
