Como hallar coseno si conozco los valores de tangente
Si se que tangente de theta es igual a -3 cuartos y el arco theta tiene su punto terminal en el curto cruadrante, debo determinar el valor exacto de coseno de theta. Muchisimas gracias
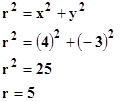
$$\begin{align}&si \ \ tan \ \theta \ = -{ 3\over 4 } \ \ \ y \ \ \ \theta \ esta\ en \ el \ cuarto \ cuadrante \ hallar \ \cos \ \theta\\& \\&respuestas: \\&A) \ \ \ { 3 \over 5} \ \\&\\& B)\ \ \ { 4 \over 5} \\&\\&C) \ \ \frac{4}{\sqrt{ \ 7}} \\&\\&D) \ \ \ 4\end{align}$$
1 respuesta
Respuesta de Luis Alberto Candio Salcedo
1

