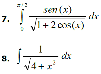
Resolver las siguientes integrales:Indefinida,Definida
Aplicando las propiedades y definición de integral, resolver las siguientes integrales:

1 Respuesta
Respuesta de Lucas m
1
