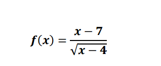
Para la función dada determine la solución real del respectivo dominio y rango
Para la función dada determine la solución real del respectivo dominio y rango

Me podrían ayudar con este ejercicio.
1 respuesta
Respuesta de Lucas m
1
