Solución de los siguientes problemas de análisis de limites y continuidad.

amig@s.

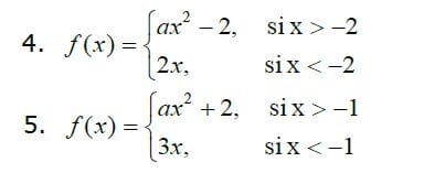
Por favor me ayudan con la solucion de los siguientes ejercicios:

1 Respuesta

Respuesta
2

·

·

¡Hola Elkin!

Debes poner los enunciados completos, imagino que quieres decir que hay que calcular el valor de a para que las funciones sean continuas. Si es así los límites laterales serán coincidentes.

$$\begin{align}&4)\\&\\&\lim_{x\to-2^+}f(x)= \lim_{x\to-2}(ax^2-2)= a(-2)^2-2 = 4a-2\\&\\&\lim_{x\to-2^-}f(x)= \lim_{x\to-2} (2x) = 2·(-2)=-4\\&\\&\text{Los igualamos}\\&\\&4a-2=-4\\&\\&4a=-2\\&\\&a= \frac{-2}{4}= -\frac 12\\&\\&-------------------\\&\\&5)\\&\\&\lim_{x\to-1^+}f(x)= \lim_{x\to-1}(ax^2+2)= a(-1)^2+2=a+2\\&\\&\lim_{x\to-1^-}f(x)= \lim_{x\to-1}(3x)=3(-1)= -3\\&\\&a+2=-3\\&\\&a=-5\end{align}$$

Y eso es todo sa lu dos.

:

:

Añade tu respuesta

Haz clic para o

Más respuestas relacionadas