Aplicando las propiedades y definición de integral, resolver las siguientes integrales

Me ayudan con la solución y explicación de las siguientes integrales:

1 respuesta

Respuesta
2

·

·

¡Hola Elkin!

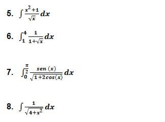
Son muchos ejercicios, haré las dos primeras.

La primera es muy sencilla, basta con poner la función como suma de dos

$$\begin{align}&\int \frac{x^2+1}{\sqrt x}dx = \int\left( \frac{x^2}{\sqrt x}+ \frac 1 {\sqrt x }\right)dx=\\&\\&\int \left(x^{\frac 32}+x^{-\frac 12}\right)dx=\\&\\&\frac{x^{\frac 52}}{\frac 52}+ \frac{x^{\frac 12}}{\frac 12}+C = \frac 25 \sqrt{x^5}+2 \sqrt x+C\\&\\&------------------\\&\\&\int_1^4 \frac{1}{1+\sqrt x}dx=\\&\\&t=1+\sqrt x\implies \sqrt x=t-1\\&dt= \frac{dx}{2 \sqrt x}= \frac {dx}{2(t-1)}\implies dx=2(t-1)dt\\&\\&x=1\implies t= 1+ \sqrt 1=2\\&x=4\implies t=1+ \sqrt 4=3\\&\\&=\int_2^3 \frac 1t·2(t-1) \;dt=  2\int_2^3\left(1-\frac 1t\right)dt=\\&\\&2\bigg[t-ln\,t  \bigg]_2^3= 2\left(3-ln\,3-2+ln\,2  \right)=2-2ln3+2ln2\end{align}$$

Y eso es todo.  Las otras no las veo fáciles a primera vista, deberás mandar una en cada pregunta. Sa lu dos.

:

:

Añade tu respuesta

Haz clic para o

Más respuestas relacionadas