Solución a los siguientes ejercicios sobre limites.

Podrían ayudarme para encontrar la solución de los siguientes limites:

1 Respuesta

Respuesta
1

·

·

¡Hola Nathanael!

Son muchos ejercicios, haré los tres primeros y si quieres los otros mándalos en otra pregunta.

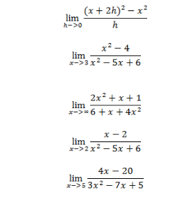
$$\begin{align}&1)  \lim_{h\to 0} \frac{(x+2h)^2-x^2}{h}=\\&\\&\lim_{h\to 0} \frac{x^2+4hx+4h^2-x^2}{h}=\\&\\&\lim_{h\to 0} \frac{4hx+4h^2}{h}=\\&\\&\lim_{h\to 0} \frac{4x+4h}{1}= 4x\\&\\&\\&2) \lim_{x\to 3} \frac{x^2-4}{x^2-5x+6}= \frac{9-4}{9-15+6}= \frac 50= \infty\\&\\&\\&3) \lim_{x\to \infty} \frac{2x^2+x+1}{6+x+4x^2}=\\&\\&\text{divido todo por }x^2\\&\\&\lim_{x\to \infty} \frac{2+ \frac 1x+\frac 1{x^2}}{\frac{6}{x^2}+ \frac 1x+4}= \frac{2+0+0}{0+0+4}= \frac 24= \frac 12\\&\end{align}$$

Y eso es todo, no olvides valorar la respuesta abajo pinchando donde pone Excelente para tener derecho a nuevas respuestas.

Saludos.

:

:

Añade tu respuesta

Haz clic para o

Más respuestas relacionadas